24 Jan 26 Soal Literasi Matematika Kls 8
1. “Jarak Tempuh”
Sekelompok burung bermigrasi antar benua terbang menempuh jarak secara teratur:
Hari ke–1 = 120 km
Hari ke–2 = 150 km
Hari ke–3 = 180 km
Jika pola perjalanan burung mengikuti pola tersebut, jarak yang ditempuh kumpulan burung tersebut pada hari ke–10 adalah …
- 360 km
- 390 km
- 420 km
- 450 km
Kunci : B
2. “Ecoprint”

Pada praktik pembelajaran Seni Budaya dan Kesenian, Dinda ingin membuat batik ecoprint dengan menggunakan bunga yang banyak tumbuh di lingkungan sekolahnya. Setelah mengamati, Dinda mememukan bahwa terdapat satu jenis Bunga dengan warna yang berbeda seperti pada gambar diatas. Kemudian, Dinda berencana membuat batik ecoprint dengan menggunakan bunga berwarna merah, ungu, dan pink. Bunga tersebut disusun seperti pada tabel di bawah ini!

Manakah pernyatan-pernyataan berikut ini yang benar? (.(jawaban benar lebih dari satu).
- Pola ke – 58 bunga berwarna merah.
- Pola ke – 59 bunga berwarna ungu
- Pola ke – 71 bunga berwarna pink
Kunci : a, c
3. “Gedung Teater”
Dalam suatu Gedung teater terdapat 9 baris kursi. Pada baris pertama terdapat 8 kursi, baris kedua 12 kursi, baris ketiga 11 kursi, baris keempat 15 kursi, baris kelima 14 kursi dan seterusnya mengikuti pola yang sama.
Diberikan pernyataan-pernyataan berikut ini :
- Banyak kursi pada baris terakhir adalah 21 kursi
- Banyak kursi seluruhnya yang dapat ditempati pada 3 baris terakhir adalah 58 kursi
- Jumlah kursi seluruhnya dalam gedung teater adalah 138 kursi
- Jumlah kursi seluruhnya dalam gedung teater adalah 135 kursi
Pernyataan yang benar adalah …
- (1) dan (3)
- (1) dan (4)
- (2) dan (3)
- (2) dan (4)
Kunci : C
4. “ Migrasi Kupu-Kupu”

( Sumber : https://www.kompasiana.com/ , diakses Selasa, 23 Des 2025 Pukul 09.59)
Migrasi merupakan suatu cara untuk tetap bertahan hidup. Dalam keadaan dingin ekstrem mereka tak akan mampu bereproduksi. Kupu – kupu tropis ini berasal dari Kanada, Amerika Serikat, dan Meksiko. Spesies ini mampu menempuh perjalanan antara 50-100 mil (80-160 km) setiap hari . Bulan Oktober-Maret mereka habiskan dalam cuaca hangat. Tiap kupu – kupu dapat menempuh total jarak 4.830 kilometer dan bisa terbang pada ketinggian setinggi 3.050 meter. Mereka satu-satunya spesies kupu-kupu yang melakukan migrasi dua arah setiap tahun. Seorang peneliti migrasi kupu-kupu mencatat pergerakan kupu-kupu sebagai berikut: Barisan pertama terdiri 1 ekor kupu-kupu, barisan kedua terdiri 2 ekor kupu-kupu, barisan ketiga terdiri dari 4 ekor kupu-kupu, barisan keempat terdiri dari 8 ekor dan seterusnya. Jika banyak barisan dalam formasi tersebut ada 10 barisan kupu-kupu, banyak kupu-kupu seluruhnya yang ada dalam kelompok tersebut adalah… .
- 1024 kupu – kupu
- 1023 kupu – kupu
- 512 kupu – kupu
- 511 kupu – kupu
Kunci : B
5. Perhatikan gambar pola berikut!
Bilangan 388 dan 405 pada pola tersebut berbentuk ….
- trapesium dan persegi panjang
- persegi panjang dan trapesium
- lingkaran dan persegi pamjang
- jajar genjang dan trapesium
Kunci : A
6. “Perkembangbiakan amuba”
Seorang Peneliti mengamati perkembangbiakan bakteri jenis A dan B masing-masing sejumlah 35 dengan waktu pembelahan sel seperti tampak pada gambar.
Amuba jenis A pada saat ini membelah diri menjadi 1.120. Jumlah amuba jenis B pada saat yang bersamaan sebanyak...
- 135 amuba
- 192 amuba
- 256 amuba
- 280 amuba
KUnci : D
7. Perhatikan gambar susunan objek berikut ini!
- Jumlah persegi warna putih pada pola ke – 10 adalah 100 buah.
- Jumlah persegi warna hitam pada pola ke – 10 adalah 35 buah.
- Selisih persegi warna putih dan hitam pada pola ke – 10 adalah 78 buah.
- Jumlah semua persegi pada pola ke – 10 adalah 132 buah.
Pernyataan yang benar adalah … .
- (1) dan (3)
- (1) dan (4)
- (2) dan (3)
- (2) dan (4)
KUnci : B
8. Sebuah mercusuar memancarkan cahaya selama 30 detik, lalu gelap 30 detik. Pola ini berulang. Jika mercusuar menyala pada pukul 18:00:00, pada detik ke berapa cahaya akan kembali padam untuk pertama kalinya setelah periode menyala selesai?
- 18:00:29
- 18:00:30
- 18:00:31
- 18:01:00
Kunci : B
9. Perhatikan himpunan A sampai dengan E sebagai berikut :
A = {Ayah, Ibu, Paman, Bibi}
B = {O, A, B, AB}
C = {bakso, soto, sate, siomay}
D = {Senin, Selasa, Rabu, Kamis, Jum’at, Sabtu}
E = {baju batik, baju polos, baju koko}
Perhatikan pernyataan berikut ini.
Dari pernyataan tersebut, yang merupakan fungsi adalah ….
- (1) dan (3)
- (1) dan (4)
- (2) dan (3)
- (2) dan (4)
Kunci : A
10. Tiga orang A, B , C adalah pekerja harian lepas mendapat pekerjaan untuk membersihkan taman suatu sekolah. Pihak sekolah memberikan upah selama satu hari itu dengan ketentuan wajib bekerja 6 jam dan jika lebih dari 6 jam maka dihitung lembur dengan upah tertentu setiap
Perhatikan tabel berikut!
Jika upah lembur per jam dinyatakan dengan rupiah, banyak jam lembur adalah , upah wajib bekerja 6 jam adalah rupiah, dan total upah yang diterima adalah .
Perhatikan pernyataan berikut ini.
- Upah wajib bekerja 6 jam adalah Rp70.000,00
- Upah lembur perjam adalah Rp20.000,00
- Rumus total upah yang diterima
- Total upah yang diterima pekerja C adalah Rp120.000,00
Pernyataan yang benar adalah ….
- (1) dan (3)
- (1) dan (4)
- (2) dan (3)
- (2) dan (4)
Kunci : C
11. Lihat gambar

Kunci : C
12. Baca soal
Kunci : A
13. Paman akan mendaftarkan menjadi anggota Koperasi “SEJAHTERA” dengan membayar simpanan pokok Rp100.000,00 dan simpanan wajib Rp25.000,00 per bulan mulai bulan Februari 2025. Total jumlah tabungan Paman sampai bulan Mei 2025 seperti tabel berikut:

Total jumlah simpanan wajib dan simpanan pokok milik Paman pada bulan Desember 2025 adalah….
- Rp300.000,00
- Rp325.000,00
- Rp350.000,00
- Rp375.000.00
Kunci : D
14. Perhatikan gambar!
Manakah pernyataan berikut ini yang benar? (jawaban benar lebih dari satu).
- Nilai ???? + ???? = 0
- Rumus ????(????) = 3???? − 3
- Nilai ???? = −3
Kunci : 1,2
15. Perhatikan grafik berikut.
Nilai dari f (4) adalah ….
- 7
- 8
- 9
- 10
Kunci : D
16. Taksi online memasang tarif seperti pada grafik berikut.
Kakak pergi ke sekolah naik taksi online tersebut. Jarak rumah ke sekolah 8 km. Ongkos taksi yang harus dibayarkan Reva adalah ….
- Rp43.000,00
- Rp42.000,00
- Rp41.000,00
- Rp40.000,00
Kunci : B
17. “Tracking”
Pemerintah menetapkan aturan bagi para pendaki untuk keamanan pendakian:
- Untuk setiap 1 km jarak mendatar, pendaki akan naik setinggi 400 meter.
- Kemiringan jalur tidak boleh lebih dari 2/3 .
.Kakak di akhir tahun 2025 melakukan pendakian di gunung Galura (Jawa Barat) dengan ketinggian sebagaimana ilustrasi pada gambar berikut.

Perhatikan pernyataan-pernyataan berikut ini:
- Kemiringan gunung Galura adalah lebih dari
- Jika pendaki berjalan 5 km mendatar, kenaikan ketinggian yang dicapai 2.000 meter
- Gunung Galura memiliki jalur kemiringan yang aman
- Setiap perjalanan mendatar 1 km di gunung Galura, pendaki bertambah ketinggian 500 meter
Pernyataan Arya yang sesuai dengan informasi gambar yang benar adalah ….
- (1) dan (3)
- (1) dan (4)
- (2) dan (3)
- (2) dan (4)
Kunci : C
18. “Pertumbuhan Tanaman Jagung”
Kakek adalah seorang petani jagung yang sangat tekun. Ia melakukan pengamatan terhadap pertumbuhan tanaman jagung di ladangnya. Kakek mencatat tinggi rata-rata tanaman jagung pada interval waktu tertentu, diperoleh data sebagai berikut.
- Pada Hari ke-4 setelah tanam, tinggi rata-rata tanaman jagung adalah 13 cm.
- Pada Hari ke-12 setelah tanam, tinggi rata-rata tanaman jagung adalah 45 cm.
Diasumsikan bahwa laju pertumbuhan tanaman jagung tersebut konstan (tetap) setiap harinya, sehingga pola pertumbuhannya dapat dimodelkan menggunakan persamaan garis lurus. Laju pertumbuhan tanaman jagung tersebut per harinya adalah ….
- 3 cm/hari
- 4 cm/hari
- 5 cm/hari
- 6 cm/hari
Kunci : B
19. “Pertumbuhan Tanaman Jagung”
Kakek adalah seorang petani jagung yang sangat tekun. Ia melakukan pengamatan terhadap pertumbuhan tanaman jagung di ladangnya. Kakek mencatat tinggi rata-rata tanaman jagung pada interval waktu tertentu, diperoleh data sebagai berikut.
- Pada Hari ke-4setelah tanam, tinggi rata-rata tanaman jagung adalah 13 cm.
- Pada Hari ke-12setelah tanam, tinggi rata-rata tanaman jagung adalah 45 cm.
Diasumsikan bahwa laju pertumbuhan tanaman jagung tersebut konstan (tetap) setiap harinya, sehingga pola pertumbuhannya dapat dimodelkan menggunakan persamaan garis lurus. Perkiraan tinggi tanaman jagung pada hari ke-20 setelah tanam adalah ….
- 88 cm
- 77 cm
- 66 cm
- 55 cm
Kunci : B
20. “Lomba Lari Cepat”
Dina dan Budi berlomba untuk menentukan siapa yang lebih cepat dalam berlari. Selama 6 jam Dina mampu menempuh jarak 12 km, sedangkan Budi dapat menempuh 15 km dalam 5 jam.
Berdasar keterangan tersebut, Benar atau Salah pernyataan -pernyataan berikut.

21. “Perubahan Suhu”
Di desa Kadisoba dengan mengalami musim Pancaroba. Seorang anak mencoba melakukan pengukuran suhu dengan thermometer. Suhu udara harian digambarkan sebagai garis lurus yang meningkat dari 22°C menjadi 30°C dalam 4 jam. Arti gradien dari grafik yang digambarkan anak tersebut adalah ….
- Suhu naik 4°C tiap jam
- Suhu naik 2°C tiap jam
- Suhu turun 4°C tiap jam
- Suhu turun 2°C tiap jam
Kunci : B
22. “Sistem Tarif Taksi”
Perhatikan informasi tarif taksi pada gambar berikut.
Dinas perhubungan menetapkan bahwa sistem Tarif taksi tersebut berlaku untuk setiap perusahaan taksi yang beroperasi di seluruh wilayah kota kabupaten. Ibu akan pergi ke rumah nenek dari rumah menggunakan jasa taksi dengan informasi seperti pada gambar. Supir taksi mengatakan bahwa tariff dasar taksi Rp6.500,00, sedangkan per km dikenakan tariff Rp4.100,00. Sedangkan tariff per menit Rp500,00. Jika jarak rumah ke tempat nenek 5 km tanpa kendala macet, maka ibu harus mengeluarkan ongkos taksi sebesar ….
- Rp20.500,00
- Rp27.000,00
- Rp29.500,00
- Rp32.500,00
Kunci : B
23. “Sistem Tarif Taksi”
Perhatikan informasi tariff taksi pada gambar berikut.
Dinas perhubungan menetapkan bahwa sistem Tarif taksi tersebut berlaku untuk setiap perusahaan taksi yang beroperasi di seluruh wilayah kota kabupaten.
Berikut ini disajikan tarif taksi dari dua perusahaan.
Jika Ayah akan menempuh jarak 4 km dengan perkiraan waktu macet selama 5 menit,
Berdasar keterangan, pilih lebih dari 1 jawaban benar dari pernyataan berikut.
- Jika menggunakan jasa perusahaan Maxam ongkos Taksi yang harus dibayarkan Rp27.500,00
- Ayah harus membayar sejumlah Rp25.000,00 jika menggunakan jasa taksi Grabi
- Ayah bisa memilih perusahaan mana saja, karena tarif ongkosnya sama
- Tarif perusahaan Maxam lebih Mahal dibandingkan dengan tariff Grabi
Kunci : 2,4
24. “Luas Permukaan Tubuh”

Luas Permukaan Tubuh (LPT) adalah ukuran yang menyatakan luas permukaan tubuh manusia. Perhitungan ini sangat bermanfaat dalam medis, salah satunya dalam menentukan pemberian dosis obat dan tingkat metabolisme seseorang. Salah satu metode yang dapat digunakan untuk menentukan LPT adalah pendekatan linier. Fungsi linier yang menyatakan pendekatan LPT terhadap bayi dan anak-anak dengan berat 3 kg hingga 30 kg adalah sebagai berikut:![]()
Seorang anak memiliki LPT maka perkiraan berat anak tersebut adalah ….
- 3,5 kg
- 7 kg
- 11 kg
- 15 kg
Kunci : C
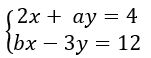
25. Misal a dan b merupakan dua bilangan real sehingga sistem persamaan linear
![]()
Mempunyai solusi (x,y) = (-3,2).
Berdasarkan informasi di atas, pernyataan berikut yang benar terkait dengan nilai a dan b adalah …. (jawaban benar lebih dari satu)
- a merupakan bilangan ganjil
- b merupakan bilangan genap.
- 2a+3b=8
Kunci : 1,2
26. Perhatikan gambar!

Isian yang tepat untuk titik-titik pada tabel adalah …
- Rp13.000,00
- Rp12.000,00
- Rp11.500,00
- Rp10.500,00
Kunci : C
27. Pak Dwi membagi 35 peserta didik ke dalam beberapa kelompok dengan banyak anggota 4 orang dan 5 orang, sehingga total jumlah kelompok adalah 8. Banyak kelompok yang beranggotakan 4 orang adalah….
- 2 buah
- 3 buah
- 4 buah
- 5 buah
Kunci : D
28. Harga total tiket masuk di sebuah museum adalah Rp 105.000,00 untuk 1 orang dewasa dan 4 anak-anak, serta Rp 190.000,00 untuk 2 orang dewasa dan 7 anak-anak. Harga tiket nasuk di museum tersebut untuk 1 orang dewasa dan 3 anak-anak adalah….
- Rp 90.000,00
- Rp 85.000,00
- Rp 80.000,00
- Rp 75.000,00
Kunci : B
29. Diketahui dua anak timbangan A dan B berbeda berat. Berat 3A dan 2B adalah 190 gram, berat 4A dan 6B adalah 320 gram. Berat sebuah anak timbangan A dan sebuah anak timbangan B adalah….
- 50 gram dan 20 gram
- 45 gram dan 30 gram
- 40 gram dan 35 gram
- 35 gram dan 30 gram
Kunci : A
30. Diketahui sistem persmaan sebagai berikut : 3x+3y=3 dan 2x-4y=14
Jika dan merupakan penyelesaian dari sistem persamaan tersebut, nilai 6x-2y adalah….
- 26
- 22
- -14
- -18
Kunci : B
----SEMANGAAAATTT-----
Komentari Tulisan Ini
Halaman Lainnya
24 Jan 26 - Soal Literasi B Indonesia Kls 9
1. Cermatilah teks berikut! Merti Dusun Merti Dusun sering disebut juga dengan bersih desa hakikatnya sama dengan makna simbol rasa syukur masyarakat kepada sang Pencipta atas apa yang
24 Jan26 Soal Literasi Sains Kls 7
1. Perhatikan teks berikut ini! KEGIATAN SCIENTIST Kegiatan para ilmuwan atau scientist mempelajari hal-hal yang terjadi di sekitarmu dengan cara melakukan serangkaian penelitian dengan
Soal Literasi 17 Januari 2026 Kelas 8
The following text is for test items 1 – 5. Last year, I was 18 years old. I had just graduated from high school, and I wanted to continue my studies in Yogyakarta. I had lived wi
Soal Literasi 17 Januari 2026 Kelas 7
1. Bacalah teks berikut! Pemandangan yang disajikan di Kebun Teh Kemuning ini seakan menyejukkan mata siapa pun yang memandang. Perkebunan tersebut berada di lereng Gunung Lawu, K